Can We Better Predict Who Is Most Likely to Have Another VTE After a First Event? – RPTH Journal
RPTH Journal shared a post on LinkedIn about a recent article by Eugenia Biguzzi, adding:
”Can we better predict who is most likely to have another VTE after a first event?
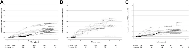
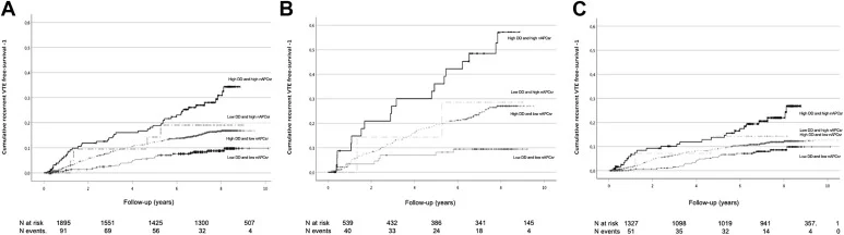
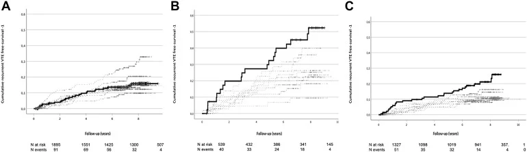
A new RPTH study suggests that combining d-dimer with thrombin generation may improve risk stratification for recurrent venous thromboembolism. In this cohort of 1,895 patients, recurrence risk was lowest in those with low d-dimer + low thrombin generation, intermediate when only 1 marker was elevated, and highest when both were elevated.
The signal was especially striking in unprovoked VTE. Patients with high d-dimer and high thrombin generation had an incidence rate of 9.80 per 100 patient-years, compared with 1.36 per 100 patient-years in those with low levels of both markers, with an adjusted hazard ratio of 8.59.
Why this matters:
Extending anticoagulation lowers recurrence risk, but bleeding risk remains the tradeoff. Tools that better separate low-, intermediate-, and high-risk patients could help guide more personalized decisions after a first VTE.
A key caveat: thrombin generation was measured with a specialized assay, which may limit immediate routine clinical use. Still, this study adds to the push toward biomarker-guided anticoagulation decisions rather than relying on broad clinical categories alone.”
Title: Recurrent venous thromboembolism: association with thrombin generation and d-dimer
Authors: Eugenia Biguzzi, Kristien Winckers, Tilman M. Hackeng, Frits R. Rosendaal, Astrid van Hylckama Vlieg
Read the Full Article on RPTH

Stay updated on all scientific advances with Hemostasis Today.
-
May 6, 2026, 13:44Wolfgang Miesbach: Octreotide as a First‑Line Systemic Option in VWD Patients With Angiodysplasia‑Related GI Bleeding
-
May 6, 2026, 13:42Irogue Igbinosa: Rethinking Iron Deficiency in Pregnancy with Intravenous Therapy
-
May 6, 2026, 13:34Manaf Aljishi: Three Posters Presented at the Hematology and Hemostasis Conference 2026
-
May 6, 2026, 13:33David Ferreira: Insights from the 1st National Meeting of Young Immunohematologists in Abrantes
-
May 6, 2026, 13:22Nicholas Lee: Honored to Join ASH CRTI Program for Aplastic Anemia Research
-
May 6, 2026, 13:16Mehari Gebreyohanns: Transition from Alteplase to Tenecteplase Is Full Steam Ahead in Texas
-
May 6, 2026, 12:53Masoabi Sefojane: In Africa 88% of Hemophilia Remains Undiagnosed
-
May 6, 2026, 12:36Alan Nurden: CRISPR-Mediated Megakaryocyte Modeling in Glanzmann Thrombasthenia
-
May 6, 2026, 12:12Mona Ranade: Insights from a Medeloop Analytics Study Evaluate Catheter-Directed Therapy in Pulmonary Embolism