Hossam El Benawi: Is Ultrasound Alone Enough to Diagnose CVI?
Hossam El Benawi, Senior Clinical Research Fellow of Cardiovascular Medicine at Mayo Clinic, shared a post on LinkedIn about a recent article he and his colleagues co – authored, adding:
“Is ultrasound alone enough to diagnose chronic venous insufficiency (CVI)?
Our data suggest it may fall short.
In 839 patients (1478 limbs), photoplethysmography (PG) consistently outperformed ultrasound (US) in detecting venous incompetence and identifying severe disease.
CVI severity was classified by CEAP score.
Severe CVI: 32.3% of limbs
US detection: 67.4% overall, 75.3% in severe CVI
PG detection: 72.9% overall, 88.5% in severe CVI
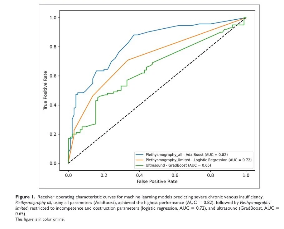
In machine learning models PG outperformed US parameters in predicting severe CVI (AUROC: 0.82 vs 0.65).
Limiting PG data to incompetence and obstruction parameters modestly reduced performance but remained higher than US (logistic regression AUROC 0.72). (Figure 1)
Takeaway:
A quantitative, whole – limb hemodynamic assessment with PG may better stratify CVI severity – and improve prognostic insight – than ultrasound alone.”
Title: Plethysmography compared to ultrasound for the evaluation of chronic venous insufficiency
Authors: Hossam Elbenawi, David Liedl, Thom Rooke, Ana I Casanegra, Paul Wennberg, Gina K Hesley, Robert McBane, Damon E Houghton
Read the Full Article on Vascular Medicine

Find more posts from Hossam El Benawi on Hemostasis Today.
-
May 27, 2026, 17:51Fiona Robinson: What exactly Are Rebalancing Agents for Bleeding Aisorders?
-
May 27, 2026, 17:14Khurram Nasir: Can Earlier LDL-C Lowering Change the Trajectory of Cardiovascular Disease?
-
May 27, 2026, 17:09Yvonne Jongejan: Allele-Selective Silencing Therapy for VWD and Thrombotic Disorders
-
May 27, 2026, 16:58Catherine Moran: Important Step Forward as 1st WHO Resolution on Stroke Gets Adopted at WHA79
-
May 27, 2026, 16:08Heghine Khachatryan: Thrombosis in Oncology Remains a Major Healthcare Burden
-
May 27, 2026, 16:00Revealing Critical Gaps in Hemophilia Diagnosis and Access to Care in India – WFH
-
May 27, 2026, 16:00Melissa Hollo: Women Deserve Proactive Care, Not Reactive Care
-
May 27, 2026, 15:59Piotr Czempik: First Report of ROTEM Findings in Triple-Positive APS and Hageman Anomaly
-
May 27, 2026, 15:59Sara Trompeter: Improving Transfusion Safety Through Advanced Blood Matching in SCD