Pablo Corral: How Low Should LDL-C Go After Ischemic Stroke?
Pablo Corral, Pharmacology Professor at FASTA University, Past President of Argentine Lipid Society, shared on LinkedIn about a recent article by Victorien Monguillon et al, published in Circulation:
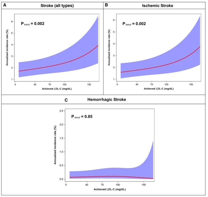
”How Low Should LDL-C Go After Ischemic Stroke?
Not theoretical anymore. Not opinion.
Data:
- Lower LDL-C, fewer cardiovascular events
- Lower LDL-C, fewer recurrent strokes
- Benefit continues below 40 mg/dL
And importantly:
- No excess hemorrhagic stroke
- No safety signal
- Consistent risk reduction
The real question is no longer how low is too low. It is:
Why are we still leaving stroke patients exposed to avoidable LDL risk?
After ischemic stroke: Aggressive LDL lowering is prevention
Title: Efficacy and Safety of Very Low Achieved LDL Cholesterol in Patients With Previous Ischemic Stroke
Authors: Victorien Monguillon, Peter Kelly, Michelle O’Donoghue, Jeong-Gun Park, Erin Bohula, Jeffrey Saver, Dan Atar, Anthony Keech, Peter Sever, Huei Wang, Gabriel Paiva da Silva Lima, Marc Sabatine, Robert Giugliano
Read the Full Article on Circulation

Stay updated on all scientific advances with Hemostasis Today.
-
Apr 16, 2026, 15:29Sebastian Klapa: Key Findings On Mortality And Cardiovascular Risk In ANCA-Associated Vasculitis
-
Apr 16, 2026, 15:23Ifeanyichukwu Ifechidere – Argatroban: Its ‘Rescue Mission’ in Heparin-Induced Thrombocytopenia
-
Apr 16, 2026, 14:58When Early Diagnosis Is the First Step in Hemophilia A Care – WFH
-
Apr 16, 2026, 14:05Saleh Shamse Basha: When Platelet Counts Mislead, The PLT-F Becomes Critical
-
Apr 16, 2026, 13:44Maha Othman: Celebrating National Medical Laboratory Week in Canada
-
Apr 16, 2026, 13:42Megan Adediran: How Much of What You Know About Hemophilia Is True?
-
Apr 16, 2026, 13:35Priya Singh: How to Write the Discussion of a Research Paper
-
Apr 16, 2026, 13:14Veronica Sanchez: Blood Pressure Categories for Individuals Who Are Pregnant
-
Apr 16, 2026, 13:07Abdul Mannan: Acute Anaphylactic Reaction During Blood Transfusion